目前,量子计算已经成为一种强大的计算模式,解决了经典计算机无法解决的问题。然而,今日的量子计算机是嘈杂的,这对获得精确的结果提出了挑战。
近日,IBM量子公司Quantum的Samantha V. Barron, Stefan Woerner等,在Nature Computational Science上发文,探讨了噪声对量子计算的影响,重点关注从噪声量子计算机中采样比特串的挑战,以及对优化和机器学习的影响。
从有噪声的量子计算机中提取好样本,正式量化了采样开销,并将关联层保真度(确定有噪声的量子处理器性能度量)。还利用噪声样本的条件值风险,确定了无噪声期望值的可证明界限。还讨论了如何在不同的算法中利用这些界限,在涉及多达127个量子比特的真实量子计算机上,通过实验证实了这一发现。结果表明与理论预测高度一致。

Provable bounds for noise-free expectation values computed from noisy samples. 从噪声样本中计算的无噪声期望值的可证明界限。

图1: N=6时的ZZ功能图。

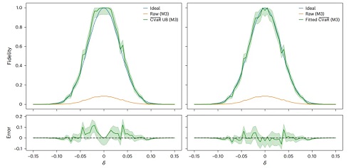
图2: 50个量子比特的保真度估计。

图3: 40量子位的量子近似优化算法quantum approximate optimization algorithm,QAOA结果。

图4: 在127个量子比特上,随机硬件兼容的高阶伊辛模型(最小化组合优化问题)进行采样的量子近似优化算法QAOA结果。
客服热线:











